들어가며..
여러분이 전자공학과 학생이라면 이 신호 및 시스템은 전공 3년차에 배울 것이라 예상한다. 이번 장에서 다룰 내용인 복소수와 복소 지수 함수는 전공 1년차의 “공업수학”이라는 과목에서 이미 배운 내용일 것이다.
신호처리에 있어서도 정말 중요한 개념이다.
복소수
복소수 z는 실수부와 허수부로 나눌 수 있다. 또한 복소수는 z = (x, y) 표기법으로 나타낼 수 있는데, 여기서 x는 실수부(Real)이고 y는 z의 허수부(Image)다.
공학자들은 √-1에 i 대신 기호 j를 사용하므로 복소수를 z = x + jy로 나타낼 수 있다. 혼동하지 말자. 방금 배운 두가지 표현을 복소수의 데카르트 형식 표기법이라 한다.
복소수는 종종 복소수 평면(좌표평면)에서 점으로 표현할 수 있는데, 그림 (a)와 같이 실수부와 허수부는 각각 x좌표와 y좌표이다. 여기서 더 나아가 실수부는 실수부들끼리, 허수부는 허수부들끼리 사칙연산도 할 수 있다. 이에 대한 내용은 다음에 더 자세히 배울 것이다.
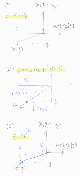
복소수와 극형식
아래 그림을 보자. 데카르트 좌표계가 보일 것이다. 복소수 z = x+jy를 직교 좌표계에 표현해 보자. 이 직교좌표계에서 x를 실수 축, y를 허수축으로 두고 (x, y)를 그려보면 그림(a)와 같다.
다음 그림 (b)로 넘어가 보자. 우리는 삼각함수 공식을 통해 x =r(sin θ), y=r(cos θ) 임을 알 수 있다. 이 수식을 정리해 보면 z = r(cos θ + j sin θ) 임을 알 수 있다.
그리고, cos θ + j sin θ 는 오일러 공식에 의해 $$e^{jθ}$$ 로 정리할 수 있다.
따라서 그림 (c) 에서 보이는 바와 같이$$ z = r e^{j θ}$$ 수식으로 다시한번 정리할 수 있다. 이것을 z의 극형식(polar form)이라 정의한다.
데카르트 직교 좌표계를 참고하여 r과 θ를 구하면 극형식 구하기 완성이다. 그림(a)와 (c)를 보면 우리는 피타고라스 수식을 이용해 $$r=\sqrt{x^2+y^2}$$을 구할 수 있다.
그리고 θ = arctan (y/x)를 구할 수 있다. r과 θ를 구하였으니 위에서 구한 수식에 대입을 해 보자. 그러면 완성이다.
마지막으로 극형식은 아래와 같이 간단하게 기호로 표현할 수도 있다.
z ↔ r∠θ
직교 좌표계를 이용해 r∠θ를 벡터로 표기하면 우리는 자연스럽게 x + jy를 구할 수 있다.

복소지수신호(complex exponential signal)
복소지수신호는 일반적으로 아래와 같이 표기할 수 있다.
$$z(t) = A e^{j (ω0t+ϕ)}$$
A는 진폭이고 양의 실수이며, ϕ는 위상, ω0은 라디안 주파수이다. 이 신호 z(t)는 t의 복소 값이지만 크기는 항상 일정하다(|z(t)| = A), 그리고 각도는 w0t+ ϕ 이다.
여기서 오일러 공식을 이용하면 아래와 같이 데카르트 좌표계에 나타낼 수 있는 수식으로 정리할 수 있다.
$$A e^{j(ω0t+ϕ)} = A( cos(ω0t + ϕ) + j sin(ω0t + ϕ) )$$
위에서 배운 데로 복소지수신호의 실수 부분은 cos 신호이고, 허수 부분은 sin 신호이다.
복소 지수 신호를 시간의 함수로 표시하려면 두 개의 그래프가 필요한데, 하나는 실수부이고 다른 하나는 허수부이다. 복소 지수 신호의 실수부와 허수부는 모두 실수 정현파 신호(sin, cos)이고, sin, cos은 오직 0.5 π rad의 위상 차만 있다.
이 특징을 이용하면 실수 cos 신호만으로 복소 지수함수를 나타낼 수 있다.
$$z(t)= 20 e^{j (2π(40)t−0.4π )}$$
$$= 20 e^{j(80πt−0.4π )}$$
$$= 20 cos(80πt − 0.4π ) + j20 sin(80πt − 0.4π )$$
$$= 20 cos(80πt − 0.4π ) + j20 cos(80πt − 0.9π )$$
'신호 및 시스템' 카테고리의 다른 글
| 05 (신호 및 시스템)튜닝포크의 원리와 증명, 물리학 풀이 (1) | 2024.03.20 |
|---|---|
| 04 (신호 및 시스템)역 오일러 공식과 페이저 덧셈법칙, 켤레 복소수 (0) | 2024.03.19 |
| 03 (신호 및 시스템)복소 지수신호의 특성과 페이저 (0) | 2024.03.16 |
| 01 (신호 및 시스템) 신호의 특성과 신호처리 (0) | 2024.03.14 |
| 00 (신호 및 시스템)신호와 시스템 정리 (0) | 2024.03.13 |